தமிழகம்
𝗣𝗢𝗖𝗦𝗢 வழக்கு – 3வது இடத்தில் தமிழ்நாடு!

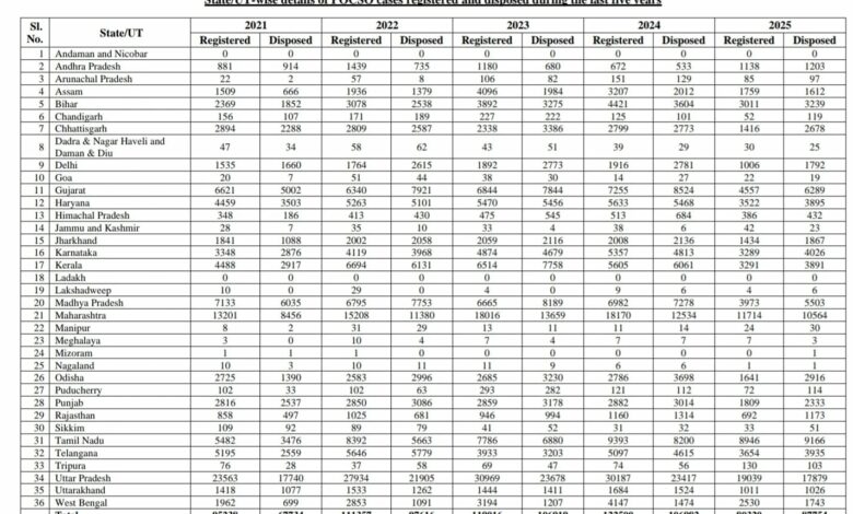
- 2025, நடப்பாண்டில் இந்தியாவில் போக்ஸோ வழக்குகள் அதிகம் பதிவு செய்த மாநிலங்களில் தமிழ்நாடு 3வது இடம்.
- தமிழ்நாட்டில் மட்டும் 8,946 POCSO வழக்குகள் பதிவு.
- உ.பி-யில் 19,039 வழக்குகளும், மகாராஷ்டிரா-ல் 11,714 வழக்குகள் பதிவு.




